复旦大学科研团队
近期又取得了数项成果和突破
小编为你整理了2023年9月部分科研成果
快一起来看看吧!
数学物理领域
1.物理学系王熠华、张远波、戚扬课题组合作,观测到铜氧化物超导体的顺磁迈斯纳振荡和Berezinskii-Kosterlitz-Thouless相变

9月18日,物理学系王熠华、张远波、戚扬课题组合作利用扫描SQUID磁显微镜,研究了Bi2212从单层到厚层在超导相变过程中的局部磁响应。该研究结果不仅发现了Berezinskii-Kosterlitz-Thouless转变在有限大体系中的一个重要磁特征,而且澄清了单层与体Bi2212的超导转变的同质关系,为理解铜氧化物欠掺杂区的赝能隙提供了线索。该工作以“Oscillating paramagnetic Meissner effect and Berezinskii-Kosterlitz-Thouless transition in underdoped Bi2Sr2CaCu2O8+δ”为题在线发表于National Science Review。
新闻链接:
https://phys.fudan.edu.cn/02/78/c7609a524920/page.htm
论文链接:
https://academic.oup.com/nsr/advance-article/doi/10.1093/nsr/nwad249/7276607?utm_source
2.物理学系吴义政、陶镇生课题组揭示新的非相对论、非磁性太赫兹产生机制

近日,物理学系吴义政、陶镇生课题组合作系统研究了RuO2和IrO2-金属异质结器件的太赫兹发射特性,揭示了一种全新的非相对论、非磁性的太赫兹产生机制。相关成果以“Nonrelativistic and nonmagnetic terahertz-wave generation via ultrafast current control in anisotropic conductive heterostructures”为题发表在Advanced Photonics上。
新闻链接:
https://phys.fudan.edu.cn/ff/bf/c7609a524223/page.htm
论文链接:
https://doi.org/10.1117/1.AP.5.5.056006
3.物理学系李晓鹏课题组与合作者发明新型量子优化架构

9月5日,物理学系的李晓鹏课题组与清华大学物理系的陈文兰课题组合作,在量子优化架构方面取得了新突破,发明了用于求解3-SAT、vertex-cover等复杂计算问题的新型量子计算架构,规模可拓展性相比于此前的方案取得了“质”的提升。 相关成果以“Universal Quantum Optimization with Cold Atoms in an Optical Cavity”为题,发表在Physical Review Letters上。
新闻链接:
https://phys.fudan.edu.cn/e6/23/c7609a517667/page.htm
论文链接:
https://journals.aps.org/prl/abstract/10.1103/PhysRevLett.131.103601
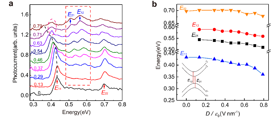
4.物理学系晏湖根课题组揭示了二维材料中激子极化率的维度效应

9月1日,物理学系晏湖根教授课题组系统研究了黑磷激子极化率随厚度的演化,揭示了激子从二维到三维演化过程中的基本规律。相关成果以“Layer-dependent exciton polarizability and the brightening of dark excitons in few-layer black phosphorus”为题发表在Nature Communications上。该工作通过红外光电流谱测量,系统研究了电场对二维黑磷的调控作用,展示了二维材料在调制器、探测器和各种光电器件方面有广阔的应用前景。
新闻链接:
https://phys.fudan.edu.cn/e2/70/c7609a516720/page.htm
论文链接:
https://www.nature.com/articles/s41467-023-41126-8
5.物理学系黄吉平课题组基于热超构材料实现了类梯田结构多温度控制

近日,物理学系/应用表面物理国家重点实验室黄吉平教授课题组,提出了一种具有类梯田结构温度分布的热超构材料,并以此为基础实现了高效多温度控制,为物理学、工程学及生命科学等不同学科中存在多温度需求的情形,提供了一种有潜力的控温方案。相关成果以“Adaptive multi-temperature control for transport and storage containers enabled by phase-change materials”为题发表于Nature communications。论文发表同日,课题组应邀在Springer Nature的Physics Community中“Behind the Paper”栏目撰文,分享了该工作的想法来源及实验经验等内容。
新闻链接:
https://phys.fudan.edu.cn/fb/4d/c7609a523085/page.htm
论文链接:
https://doi.org/10.1038/s41467-023-40988-2
6.现代物理研究所魏宝仁课题组量子态分辨的电荷交换绝对截面研究取得新进展

近日,现代物理研究所魏宝仁教授课题组与北京应用物理与计算数学研究所刘玲研究员展开合作,在高电荷态O6+离子与He原子电荷交换量子态选择截面研究方面取得进展,相关成果发表在New Journal of Physics上。团队成员利用复旦大学高电荷态离子碰撞平台的绝对截面测量系统和动量成像谱仪,分别获得了2.63至37.5 keV/u碰撞能量下高电荷态O6+离子与He原子电荷交换总截面和态选择截面。相比于已报道的研究,该团队大幅扩宽了碰撞能区,检验了双活跃电子渐进态紧耦合方法的可靠性,实验测量的结果和理论计算的结果符合很好。
新闻链接:
https://imp.fudan.edu.cn/fd/92/c38557a523666/page.htm
论文链接:
https://iopscience.iop.org/article/10.1088/1367-2630/acf1c3
化学材料领域
1.化学系金国新课题组通过微调不对称配体构筑Solomon link和分子8字结

9月7日,化学系金国新课题组基于[Cp*Ir/Rh]半夹心构筑单元,调控配体间的微小差异,设计将不同位阻的氨基酸引入到含有酰亚胺基元的配体中,通过配位驱动自组装的方法合成了具有相同核数的Solomon link和分子8字结。通过对所合成化合物的X-射线单晶衍射测试、详细的核磁(H NMR、COSY、DOSY、ROSEY)测试和高分辨质谱等实验,确定了其拓扑结构并表征了其性质。该成果以“Selective construction of molecular Solomon links and figure-eight knots by fine-tuning unsymmetrical ligands”为题,最新在线发表于Science China Chemistry上。
新闻链接:
https://mp.weixin.qq.com/s/7y3VjCXpIvaVDS-crwm3xA
论文链接:
https://www.sciengine.com/SCC/doi/10.1007/s11426-023-1675-0
2.高分子科学系魏大程课题组构筑在晶体管上的闭环催化纳米反应系统

9月20日,高分子科学系、聚合物分子工程国家重点实验室魏大程课题组在 Science Advances期刊上发表题为“A Closed-loop catalytic nanoreactor system on transistor”的文章。该研究通过DNA框架结构在晶体管界面构筑了多酶级联催化纳米反应器,发现了晶体管界面处的电-化学双向场调控效应(inter-electro-chemical gating effect),实现了在分子尺度上对酶级联催化反应的实时监控和电学调控。该工作在晶体管表面构建了集纳米反应器、调节器和监测器为一体的纳米化学实验室,在纳米尺度上对多级酶联催化反应进行了闭环控制。
新闻链接:
https://polymer.fudan.edu.cn/6a/bd/c32871a551613/page.htm
论文链接:
https://www.science.org/doi/10.1126/sciadv.adj0839
信息领域
1.信息学院张浩课题组在二维碲烯中发现长寿命激子高温凝聚相

9月5日,信息科学与工程学院张浩副、朱鹤元课题组在二维碲烯的激子光电特性与宏观凝聚全景相图研究中取得进展。相关成果以“Full-Landscape Condensation Phases for Long-Lived Excitons in 2D Tellurium: Crystal-Field Splitting and Finite-Momentum Excitons”为题,发表在Advanced Functional Materials上。该论文选择二维碲烯为研究对象、利用第一性原理加贝特-萨尔皮特方程(BSE)系统地研究了二维碲烯的激子光电特性与宏观凝聚全景相图,并分析了原子能级、晶体场劈裂和SOC对Γ点电子本征值的影响。最终,基于多体微扰理论,研究了电子-电子散射、电子-声子散射和直接复合的激子过程。
新闻链接:
http://www.it.fudan.edu.cn/Data/View/4493
论文链接:
https://onlinelibrary.wiley.com/doi/epdf/10.1002/adfm.202303779
2.微电子学院陈琳、王晨课题组实现自稳像图像处理功能的全光控忆阻器

9月1日,微电子学院陈琳、王晨课题组在全光控忆阻器器件开发方面获得原创性成果,工作进展以“All-Optically Controlled Retinomorphic Memristor for Image Processing and Stabilization”为题发表在国际顶级期刊Advanced Functional Materials。研究人员开发了一种新型全光控忆阻器,利用可见光单一波长的光强调制即可实现电导的可逆调制。该研究结果突显了所提出的视网膜形态忆阻器作为下一代稳像系统硬件基础的巨大应用潜力。
新闻链接:
https://mp.weixin.qq.com/s/oJDkwr9XrKhivaNOBYFy6w
论文链接:
https://doi.org/10.1002/adfm.202306272
3.微电子学院周鹏、包文中课题组研究的用于规模化集成电路制造的12英寸高质量二维半导体问世

9月29日,微电子学院周鹏、包文中团队取得重大研究进展,发明了一种面向集成电路制造的二维材料生长方法,能够在工业界主流12英寸(300毫米)晶圆上进行均匀和单层材料的快速生长,相关成果以“12-inch growth of uniform MoS2 monolayer for integrated circuit manufacture”为题发表于Nature Materials。这项工作不仅提供了二维材料CVD生长的新思路,实现了从0到1的突破;同时也聚焦二维半导体的集成电路应用,充分考虑了规模-成本-性能(S-C-P)指标的协同优化,着眼于从1到10的转化。
新闻链接:
https://news.fudan.edu.cn/2023/0929/c5a137137/page.htm
论文链接:
https://www.nature.com/articles/s41563-023-01671-5
地球科学领域
1.大气系郭媛媛、温之平课题组揭示南极地区夏季海冰范围的变率正在增长

近日,大气与海洋科学系郭媛媛青年副研究员和温之平课题组在Geophysical Research Letters期刊上发表论文,揭示了1990s末期后南极夏季海冰范围的年际变率显著增大这一观测事实,为理解近年来南极海冰极端事件频发提供了新的研究视角和重要思路。该研究证实,前秋南半球环状模(SAM)纬向对称性、季节持续性等特征的年代际调整导致了夏季威德尔海地区海表热通量的不同响应,继而通过热力效应造成该区域海冰范围年际变率的显著增强。这一结果增进了我们对南极海冰极端事件频发的认识,对改善气候模式对南极海冰的模拟能力具有重要科学意义。
新闻链接:
https://aos.fudan.edu.cn/ff/c5/c14817a524229/page.htm
论文链接:
https://doi.org/10.1029/2023GL104924
生命医学领域
1.生命科学学院王陈继课题组合作揭示肾透明细胞癌中DPP9稳定NRF2抑制肾癌铁死亡从而诱导索拉非尼耐药

9月15日,生命科学学院王陈继团队、附属肿瘤医院叶定伟、戴波团队和西南医科大学附属医院徐富江团队合作在Cancer Research在线发表了题为“DPP9 Stabilizes NRF2 to Suppress Ferroptosis and Induce Sorafenib Resistance in Clear Cell Renal Cell Carcinoma”的研究论文。该研究发现揭示DPP9通过竞争性结合KEAP1,稳定NRF2蛋白水平,激活氧化应激信号,抑制细胞铁死亡,从而诱导了ccRCC靶向治疗耐药。
新闻链接:
https://life.fudan.edu.cn/02/a6/c28140a524966/page.htm
论文链接:
https://doi.org/10.1158/0008-5472.CAN-22-4001
2.人类表型组研究院石乐明、郑媛婷课题组与合作者报道全球首套多组学标准物质“中华家系1号”最新研究成果

9月7日晚,人类表型组研究院石乐明、郑媛婷团队联合中国计量科学研究院方向、董莲华团队,国家卫健委临床检验中心李金明、张瑞团队共同研发的全球首套多组学标准物质“中华家系1号”的最新研究成果在Nature Biotechnology杂志在线发表。同期刊发的2篇科研论文分别聚焦:“使用基于中华家系1号标准物质的相对定量进行多组学数据整合”和“中华家系1号 RNA标准物质与基于比值的分析方法提高了转录组数据的质量”。这也标志着中国科学界自主研制、获批为“国家一级标准物质”的“中华家系1号(Quartet)”多组学标准物质的研发和效用得到了国际同行的认可,开创了生物医学“度量衡”新体系,将提升生命科学创新的源头质量,为全球推进人类表型组计划奠定坚实的标准基础。
新闻链接:
https://hupi.fudan.edu.cn/info/1041/2771.htm
论文链接:
https://www.nature.com/articles/s41587-023-01934-1
https://www.nature.com/articles/s41587-023-01867-9
3.基础医学院王勇波团队合作揭示剪接因子调控细胞周期促进肺癌进展的新功能与机制

9月7日,复旦大学基础医学院王勇波课题组与南通大学医学院解刚才团队的合作研究成果以“PUF60 promotes cell cycle and lung cancer progression by regulating alternative splicing of CDC25C”在Cell Reports杂志在线发表。该研究揭示了PUF60通过可变剪接调控细胞周期促进肺癌进展的新功能与机制,为剪接异常在细胞周期进展及癌症发生发展的作用提供了新的认识。
新闻链接:
https://basicmed.fudan.edu.cn/fb/9c/c36398a523164/page.htm
论文链接:
https://www.cell.com/cell-reports/fulltext/S2211-1247(23)01052-5
4.基础医学院王作云、梁春敏课题组发现K-RAS突变诱发肺腺癌的新机制

9月12日,基础医学院人体解剖与组织胚胎学系王作云和梁春敏课题组于Signal Transduction and Targeted Therapy杂志在线发表了题为“CBX4 deletion promotes tumorigenesis under KrasG12D background by inducing genomic instability”的工作。该研究揭示了PRC1家族重要成员CBX4的缺失会影响基因组稳定性,并在KrasG12D突变背景下通过调节P15,P16等凋亡相关基因的表达,使大部分细胞在初始阶段凋亡,而存活细胞的多种肿瘤相关基因和Hippo等信号通路改变,最终诱导肿瘤产生的现象。该研究提供了低CBX4水平肺癌发生的可能机制,并为精准靶向具有KrasG12D突变的癌症治疗提供了新线索。
新闻链接:
https://basicmed.fudan.edu.cn/02/fd/c36398a525053/page.htm
论文链接:
https://www.nature.com/articles/s41392-023-01623-0
5.脑科学转化研究院袁鹏合作发明单细胞精度下活体双光子刺激诱发光遗传学控制新方法

9月7日,脑科学转化研究院青年研究员袁鹏与美国耶鲁大学Grutzendler团队合作,于iScience在线发表文章“Single cell in vivo optogenetic stimulation by two-photon excitation fluorescence transfer”。该研究开发了一种新的方法,通过将荧光蛋白或者有机染料置于光遗传学通道附近的位置,随后使用双光子激发它们从而有效激活临近的光遗传学通道。该方法打破了现有双光子刺激效率所具有的局限性,为一些难以进行活体成像的实验提供了新的可能。
新闻链接:
http://itbr.fudan.edu.cn/info/1623/3854.htm
论文链接:
https://www.cell.com/iscience/fulltext/S2589-0042(23)01934-X
6.生物医学研究院罗敏、卢智刚、高海合作课题组报道肿瘤免疫治疗新靶点

9月6日,生物医学研究院罗敏、卢智刚、高海合作课题组和中国科学院分子细胞科学卓越创新中心赵允团队合作在Nature杂志在线发表题为“CD300ld on neutrophils is required for tumour-driven immune suppression”的研究文章。该研究发现一个全新的、功能高度保守的肿瘤免疫抑制受体CD300ld。CD300ld在PMN-MDSCs上特异性高表达,是调控PMN-MDSCs募集及免疫抑制功能的关键受体。靶向CD300ld能够通过抑制 PMN-MDSCs的募集和功能,重塑肿瘤免疫微环境,从而产生广谱抗肿瘤效果。CD300ld靶点显示出很好的安全性、保守性,抗肿瘤有效性、及与PD1靶点的协同性,有望成为肿瘤免疫治疗新的理想靶点。
新闻链接:
https://news.fudan.edu.cn/2023/0906/c2474a136195/page.htm
论文链接:
https://www.nature.com/articles/s41586-023-06511-9
7.生物医学研究院顾宏周课题组与合作者开发MORAC技术用于发现低丰度区的生物标志物

9月15日,生物医学研究院顾宏周研究组与附属肿瘤医院江一舟研究组、附属中山医院钟芸诗研究组合作在Nature Chemistry期刊上发表了文章“DNAzyme-based faithful probing and pulldown to identify candidate biomarkers of low abundance”,报道了一种全新的发现生物标志物的策略MORAC(MOlecular Recognition based on Affinity and Catalysis)。研究者基于DNA核酶(DNAzyme)易编辑且具备信号放大功能的特性,借助试管内高效进化技术,筛选获得高灵敏特异识别疾病样本的别构型DNA核酶探针,并将其突变后用作稳定的抓手分离、富集和鉴定所识别的分子,从而为低丰度区的生物标志物发现带来了突破。
新闻链接:
https://ibs.fudan.edu.cn/00/b3/c21019a524467/page.htm
论文链接:
https://www.nature.com/articles/s41557-023-01328-5
8.粤港澳大湾区精准医学研究院张永振课题组报道宿主特征决定了野生小型哺乳动物中的病毒组成和病毒跨种间传播

9月20日,粤港澳大湾区精准医学研究院(广州)、生命科学学院张永振课题组于Cell发表题为“Host traits shape virome composition and virus transmission in wild small mammals”的研究论文。该研究揭示了四种不同地理生态类型地区野生小型哺乳动物宿主及其所携带病毒的多样性,从地理生境、类群、种群、个体、组织器官五个维度系统地揭示病毒种群在蝙蝠、鼠类、鼩鼱这三类小型哺乳动物中的进化、生态、播散规律,以及病毒间、病毒与宿主间的相互作用。研究发现,大量病毒具有跨种间传播能力,这也意味着它们具有突破物种间的遗传障碍感染人的可能,研究结果为将来建立像天气预报一样准确的新发突发传染病预报预测系统奠定了坚实的理论基础与技术支撑。
新闻链接:
https://news.fudan.edu.cn/2023/0921/c4a137013/page.htm
论文链接:
https://doi.org/10.1016/j.cell.2023.08.029
9.营养研究院高翔课题组合作研究揭示梦游与高死亡风险密切相关

近日,营养研究院、公共卫生学院高翔课题组,与美国宾州州立大学和哈佛大学合作,在Mayo Clinic Proceedings发表了一篇题为“Probable parasomnias and morality: A prospective study in US men”的论文,该研究显示,异态睡眠(包括梦游和快速动眼睡眠行为障碍)和更高的全因死亡、神经退行性疾病或意外导致的死亡风险密切相关。这是全世界第一个关于梦游的前瞻性队列研究。该工作发现可能存在的假设是睡眠中断导致睡眠的神经生物学控制功能受损,从而进一步引起代谢和认知功能受损,从而最终导致更高的死亡率。
新闻链接:
https://shmc.fudan.edu.cn/news/2023/1003/c1892a137145/page.htm
论文链接:
https://doi.org/10.1016/j.mayocp.2023.06.018
交叉科学领域
1.类脑智能科学与技术研究院冯建峰、程炜等课题组与合作者揭示生活方式降低抑郁症风险的神经机制

9月11日,类脑智能科学与技术研究院冯建峰教授、程炜青年研究员课题组领衔,联合复旦大学附属华山医院、剑桥大学、华威大学多学科交叉团队,基于大规模生物医学数据库与大数据统计建模方法,发现拥有健康的生活方式最高可降低57%的抑郁症患病风险,进一步机制研究表明健康生活方式能够通过影响我们的大脑结构、免疫系统和新陈代谢,进而对预防抑郁症起到保护作用。相关研究成果以“The brain structure, immunometabolic and genetic mechanisms underlying the association between lifestyle and depression”为题发表在Nature子刊Nature Mental Health,并被编辑选为Research Briefing进行报道。
新闻链接:
https://mp.weixin.qq.com/s/V6zt8a_-p894IqO27ixA6A
论文链接:
https://www.nature.com/articles/s44220-023-00120-1
2.脑科学转化研究院迟喻丹课题组合作开发用于肿瘤治疗的溶酶体纳米碱化剂

近日,脑科学转化研究院迟喻丹课题组联合中国科学院脑科学与智能技术卓越创新中心(神经科学研究所)刘佳男研究组在Advanced Materials杂志上在线发表了题为“Cascade Catalytic Nanoparticles Selectively Alkalize Cancerous Lysosomes to Suppress Cancer Progression And Metastasis”的最新研究成果。借助于纳米科技,研究人员首次报道了肿瘤细胞特异性溶酶体碱化剂(LAN: lysosomal alkalizing nanoparticle)。LAN可通过被动靶向效应富集在肿瘤细胞的溶酶体中,将肿瘤微环境过表达的过氧化氢(H2O2)转化为OH-,从而特异性地碱化肿瘤细胞溶酶体。该研究不仅为特异性碱化剂的开发提供借鉴性研究思路,而且有望应用于多种溶酶体异常相关疾病的治疗。
新闻链接:
http://itbr.fudan.edu.cn/info/1623/3820.htm
论文链接:
https://onlinelibrary.wiley.com/doi/abs/10.1002/adma.202305394
3.附属中山医院内分泌课题组采用AI系统“RL-DITR”实现2型糖尿病患者血糖个性化精准调控

9月14日,附属中山医院内分泌科李小英、陈颖团队联合北京邮电大学王光宇教授团队在Nature Medicine在线发表研究成果——在国际上首次提出采用基于强化学习算法的AI系统“RL-DITR”制定胰岛素决策策略,有效提升2型糖尿病患者的胰岛素治疗方案准确性。该研究成果可为2型糖尿病患者提供个性化、动态的诊治方案,辅助建立分级诊疗体系,提升慢病管理效率。
新闻链接:
https://news.fudan.edu.cn/2023/0915/c2474a136850/page.htm
论文链接:
https://ehp.niehs.nih.gov/doi/10.1289/EHP11841
来源:公众号 复旦大学



